[摘要]乐器是音乐的重要物质载体。对乐器良好性能的研究,是乐器制作、乐器性能调试的关键着眼点。本文通过对钢琴调律、整音的概念进行辨析,梳理钢琴与古筝的声学、机械构造和发音原理,借鉴调律、整音技术,运用乐器学、音乐声学理论为中国筝调试研究提供程式化解读,以古筝琴弦振动的音高、音色基本原理为研究角度,为当今乐器学研究、古筝调试提供理论参考。
[关键词]中国筝调试;古筝性能;音高音色;声学原理
一、钢琴调律、钢琴整音与古筝调试
乐器的各个部件为机械构造①,按照一定的乐器结构和形制组装完成后,便对乐器进行初步调音。调音作为乐器制作的最后环节,目的在于使乐器性能达到合格出厂的标准。[1]在乐器的使用过程中,不同乐器由于机械构造之间的差异,在音高的稳定性、音色的均衡性方面有所不同。因此演奏者会采用一系列来进行调整,如钢琴在使用过程中存在调律和整音等一系列改善演奏性能的技术,以确保演奏者能较好地表现音乐形象、传递音乐情感和交流音乐思想。因此,乐器制作工艺和乐器性能调整技术的不断发展,为完成多样化音乐表现、高难度音乐技巧以及丰富音乐张力提供了可能。
美国钢琴调律师威廉·布雷德怀特(WilliamB.White)认为,钢琴调律是指调整钢琴琴弦的张力,使之在被激发时能发出符合音乐艺术要求的、音乐音阶的准确音的过程[2]。对该观点的解读,可从琴弦张力、符合音乐艺术要求这两点入手,即怀特认为钢琴调律是一个调整钢琴琴弦松紧度的过程,在此过程中要符合一定的律制且强调每个能准确发出的音,这些音须在音高上准确、在听感上协和。然而,此观点仅从弦振系统入手,没有明确钢琴其他声学构造及其作用,如调控装置、激励系统、共鸣系统在调律过程中如何影响乐器的音高和音色。中国学者陈重生指出,钢琴调律是指调律者依据钢琴的结构形式和声学原理,按照音乐艺术要求,为获得准确的平均律音阶排列与稳定的音高,而进行的一系列科学有序的活动[2]。
①乐器的物质存在形态,由一定工艺制造水平决定。
对陈重生钢琴调律概念的解读,可明确一个前提、一个规约和一个目的。一个前提是要“依据钢琴的声学原理和结构形式”,即钢琴调律应从乐器整体声学构造与发音原理的视角进行,而非怀特认为仅从弦振体(钢琴弦)入手。一个规约指的是“符合音乐艺术要求”,即听觉上表现为半度音程的距离相等,各完全协和音程的绝对听感协和。一个目的指的是调律要使诸如#B和C、#C和bD、B和bC等各组成对的音合为一音,而不是分作不等的音,也就是人为把自然律的音程关系(#C比bD高24音分,最大音差)调整为平均律的音程关系(#C=bD)的过程;同时琴弦张力要稳定,即在琴锤重击情况之下不会出现音不准的情况,或在一段时间内弦张力不会有过大变化的出现。
陈重生在《漫谈钢琴整音技术工艺》一文中指出,钢琴整音,是在键盘击弦机性能得到充分发挥、音律准确的前提下,通过对弦槌进行一系列正确、科学方法的处置作业,以获得音质一致、琴声从弱音到强音层次分明的过程[3]。从“整音”的概念解释出发进行分析:其一,技术手段处理对象是“弦槌”(击弦体),并非怀特认为的弦张力;其二,键盘机性能要良好,能够正常地进行工作,同时需要将钢琴音律调准,以此作为处理弦槌的前提;其三,弦槌处理的目的,在于音质一致,且强弱层次分明。从以上分析的三点来看,钢琴整音的概念是一个不确定的过程,这个“不确定”体现在钢琴各机械构造的性能(也包括了键盘击弦机),各个部件的材质、密度、硬度及磨损程度是影响钢琴整音结果的客观因素;同时整音技术人员的水平、理念也因人而异,这是导致钢琴整音结果不确定性的主观因素。在整音主、客观因素影响下,能够使整音结果“不确定性”达到最小,以求得较一致的音质与较稳定的声强效果。
通过对调律与整音的概念进行解读,我们可以给古筝调试做一个定义:古筝调试是指依据声学和律学原理,采取一定技术手段调整音高、改善音质、优化演奏手感,使乐器具备良好且相对稳定的声学特性,从而符合演奏要求,这一过程受调试者与演奏者的艺术审美与价值倾向影响。对古筝调式概念的把握,需要从以下方面入手:一是调试需要依据声学和律学原理,即调试需要建立在掌握古筝声学构造、发音原理、弦振动特性等,为调试技术本身提供学理性解释;同时,调试的技术步骤也是建立在声学构造体系之上的。二是对比钢琴整音,古筝调试对象并不限于激励体本身,而是包括了传导装置(筝码)、张弦装置(前后岳山)、弦振体、调控装置,以及其他可能影响发声的机械部件,所以古筝调试的对象要比钢琴整音的对象广泛。三是,由于古筝的声学构造与钢琴存在差异,如弦振系统,钢琴弦张力巨大,且数量219根(古筝21根);从声学发音属性来看,钢琴属于击弦发音、古筝属于拨弦发音,且古筝的传导装置不固定,其弦槽、筝码底座与琴弦、面板的贴合度不同,因此古筝乐器稳定性相较于钢琴而言,是不够稳定的。因而古筝调试的着眼点,在于乐器的稳定性,包括音高稳定、音质统一、演奏手感稳定。四是调试目的在于符合筝乐艺术演奏实践,而调试实践的过程是基于调试者、演奏者艺术审美与价值倾向的主观性,与乐器声学振动客观特性之间的有机统一。从这点可以看出,古筝调试与钢琴整音在主、客观因素影响下,都需要将结果的“不确定性”缩小,追求乐器音质的稳定。
二、影响古筝调试音高结果的因素
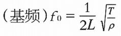
在基本乐理教科书中,将音高解释为与单位时间内物体振动的频率(单位为赫兹,Hz)有关,振动频率与音高呈正相关,即频率越高、音越高,反之,音越低。从古筝琴弦物理属性来看,有效弦长(L)①、弦密度(ρ)、弦张力(T),会对音高有直接的影响,琴弦的物理属性会直接决定着音的高低,就音高层面而言,调试的过程就是调整乐器的弦张力(T)与有效弦长(L)的过程,使之符合演奏者的审美倾向。

图1筝弦横振动模式
筝弦在受到策动力的激励时,决定音高的主要是横振动。古筝演奏中左手的滑音、按音、按滑音等技法,皆是通过按压无效音区来增大或减小张力而实现音高改变的;同时通过改变琴弦张力,古筝也得以实现转调的功能。在调试过程中,改变琴弦张力有两种方法:一是不拧弦轴、通过左右移动筝码,使有效弦长改变,张力不发生变化;二是不动筝码、通过拧弦轴,使张力发生改变,而有效弦长不发生变化。由于古筝的发音原理和声学构造的独特性,筝码底座和面板的贴合度、筝码弦槽的宽度深度会影响筝码的稳定性,从而影响古筝的音高稳定性。因而,琴弦的张力承载阈值、筝码的稳定性,是评估古筝音响性能的重要标准。
①需要说明的是,古筝的弦振系统需要前岳山、筝码、后岳山作为张弦和声能传导,有效弦长并非指整根琴弦的长度,而是前岳山到筝码这段琴弦的长度。
律制也是影响古筝音高的客观因素,生律法的不同必然会导致音高的差异,不同律制间的音程关系存在细微差别,而对于微分音的把控是比较难的。尽管现今院校中的筝演奏以平均律定弦为主,但调试过程若以人耳主观音高调音,则会存在对细微音高的把控误差。韩宝强教授于1988年,通过对145位音乐家的音准宽容度进行测量,得出多数音乐家的和声性的相对性音准感具有-38至+14音分宽容度(如图2所示)[4],表明在音准判断上,人的主观听觉不及音高检测仪器精准、稳定,是存在一个具有界限性的宽容区间的。因此,调试的过程一般需要测音仪器辅助。例如,一台平均律筝与钢琴演奏协奏曲前,通常会以调音器测得钢琴a1的赫兹数,即以440Hz定弦或以442Hz定弦,从而调整古筝的定弦方式。440Hz与442Hz定弦相差约8音分,对于音乐从业者来说,能够基本判断出来,然而无法量化,因此,需要借用调音器。
图2主、客观音高关系图
调试过程中,调试者和演奏者的心理音高会间接影响乐器的音高。古筝调试的目的在于要符合筝乐艺术演奏实践要求,这种演奏实践于调试音高而言,是“多元一体标准化”的过程。调试者和演奏者由于艺术审美价值倾向的多元差异,导致主观心理音高有所不同,极易受外界因素的影响而改变。而这种多元差异是在“一体”中,为其所约束的;如在乐队某一声部进行时,能够很容易地进行音高准确性判断,当所有乐器奏出四拍子长音A,很容易能够听出某件乐器是否偏移了A音,而不是其他音。音高多元差异受“一体”影响,还体现在主观音高和客观音高的关系上,即主观音高与客观音高呈非严格的对数关系,在低音区客观量要比正常值偏低才能与主观感觉量相符,在高音区客观量要比正常值偏高才能与主观感觉量相符。
主观音高与客观音高的对数关系,表明了音高多元差异受“一体”的影响,即主观音高是围绕客观音高上下波动,并非毫无章法可循。由于音高的心理属性,要符合筝乐艺术演奏实践要求,则需将音高的心理主观予以客观化、标准化。由于人耳听觉特性的个性化差异,主观音高受个人时间、环境和心境的不同而变化,是一种易变的、多重性的标准,人耳辨得的音高不可能和音准仪器完全吻合,因而在古筝调试实践当中,最后一定要以标准的调音器测音结果为准。从这点也可以分析出整音与调试的区别,即调音(调整音高)是整音的前提,也是调试的最后步骤。
三、影响古筝调试音色状态的因素
音色的振动状态与振动体结构、材质有关,在某些音乐实践场合,会借代“音质”一词来形容音色,而音质和乐器构造无关。由于同种乐器的机械构造是一致的,所以音质更多指受乐器制作材料与工艺的影响,如两把小提琴存在音质上的差别,而小提琴和大提琴存在音色上的差别。因此,不同制作材料、不同制作工艺的同种类型乐器,若其机械构造和振动体结构完全一致,则采用“音质”;若其机械构造和振动体结构不完全一致,则采用“音色”。
现代古筝艺术作为一种舞台艺术,古筝的形制、制作材料、乐器结构、制作工艺,具有多元统一的特征。目前的形制,有S型岳山21弦钢丝尼龙筝、钢丝筝、多声筝、低音筝、高音筝、蝶式筝和电子古筝,每一种形制古筝的制作材料、乐器结构、制作工艺都有差异,导致其机械构造在数量、尺寸、力学传导功能上有所不同。可以肯定的是,不同材料的古筝音色是有差别的,相同材料、不同形制的古筝之间存在着机械构造的差异,但是遵循古筝制作、演奏的基本规律,即符合有码指拨异体弦半管状齐特尔特征,在人耳听感上,使用“音色”一词能够基本涵盖不同形制、制作材料、乐器结构和制作工艺的古筝。
就古筝的弦振系统而言,不同材质琴弦的杨氏模量存在差异,所以在人耳听感上会有所不同,如钢丝尼龙弦、纯钢丝弦、羊肠弦,其杨氏模量不同,钢丝尼龙弦比纯钢丝琴弦音色稍明亮、清脆,纯钢丝琴弦要暗淡、沉闷。当然,这些音色的形容词,是基于人耳听感之上的,是一种定性而非定量的话语体系。而在对乐器音色的定量研究中,依据谐音的振动状态进行研究,主要有两种理论:谐音列说与起始状态说。作为异体弦半管状齐特尔,古筝琴弦在受激励后,瞬间产生振动,在整根琴弦振动的同时,琴弦的1/2、1/3、1/4等处也在振动,这些振动所产生的音就被称作“谐音”。在声学理论当中,对于谐音的数据把控需借助一定的声学测量手段,同时对于谐音数据的解读与评价术语需参照一定意义的标准。
在古筝调试的过程中,由于调试现场无法满足半消声室或全消声室的条件,且不同调试现场的温度、湿度差异较大,也缺乏一定的收声设备和声学分析软件。同时,调试过程中,筝弦振动“起始状态”①,即古筝音色的状态,受每次触弦的力度、速度、角度、深度和位置影响而有所不同。因而,调试中对于古筝音色的感知,无法满足从定量的角度研究,而仅能从人耳主观听感出发做出定性的判断。古筝“起始状态”音色的把控,主观上取决于演奏者在艺术实践中的音色偏好,调试需符合筝乐艺术演奏实践要求,不同的调试者、演奏者的艺术审美和价值倾向不同,对于古筝音色的偏好也有所差异。所以在调试过程中,两者对音色的偏好,是衡量调试效果的重要标准。
①狭义理解为触弦瞬间,发声从“无”到“有”的过程。
从调试技术层面,可以通过一些技术手段来优化古筝的音色状态。例如,通过调整琴弦的张力,使得音色在明暗度有变化,前提是张力需要承受得住演奏者的力度;同时音色在古筝低音区、中音区、高音区的特点鲜明,且过渡需要自然、演奏手感相对统一,如低音浑厚低沉而不闷、中音饱满圆润而不破、高音明亮延绵而不涩,每个音区的音色过渡,人耳听感是连贯的、自然的。除此之外,由于调试需要改善音质,除了满足音色振动状态优化,还需要在古筝杂音的发现、控制和处理上进行技术优化,如张弦装置的前岳山、筝码弦槽、后岳山等与琴弦接触的点,可能因不良振动产生的杂音,要及时处理。需要指出的是,在调试过程中,人耳对于音高、音色的把控并非独立进行的,乐音产生的瞬间,音高、音色、音强这些基本要素是同时作用于人耳的。因此,本文仅从音高、音色层面对调试过程中涉及的声学理论进行阐述。
结语
对比钢琴调律、整音,从中国筝调试概念来看,筝调试所涉及的声学理论包括且不限于乐器的声学构造、发音原理、弦振动特性等,调试者需要掌握这些关于调试的理论知识,意识到音高具有心理属性,调试过程合理使用调音器,以满足古筝音高的准确性、稳定性。在音色上,调试者的音色偏好度应和演奏者一致,乐器调试音色上,低音浑厚低沉而不闷、中音饱满圆润而不破、高音明亮延绵而不涩,且音区过渡自然。调试理论的建设工作,需要音乐学理论作为支撑,还需要在大量调试实践中作出经验性总结,在调试具体操作技术层面,也需要不断地探索。本文对整音、调律、调试三者的探讨,反映了音乐与技术、文化与观念语境下,人与物、人与人之间的关系,以调试技术运用音乐理论、音乐理论为调试操作技术提供理论参考,使调试者得以“知其然,知其所以然”。
参考文献:
[1]田泽林.乐器的声学原理及其应用[J].演绎设备与科技,2006(2):69-75.
[2]陈重生.钢琴调律原理与应用[M].上海:上海音乐学院出版社,2011.
[3]陈重生.漫谈钢琴整音技术工艺[J].演绎科技,2013(52):4-5.
[4]韩宝强.音的历程:现代音乐声学导论[M].北京:人民音乐出版社,2016.
文章来源:当代音乐,2025,(08):160-162.


